Diffusion Model
先从GAN网络开始

GAN网络,全称为生成对抗网络(Generative Adversarial Networks),是一种深度学习模型,主要用于生成新的数据样本,如图片、音乐或文本。GAN由两部分组成:生成器(Generator)和判别器(Discriminator)。
- 生成器:这部分的任务是创造看起来真实的数据。它接收一个随机的噪声信号,并通过学习现有数据的特征,尝试生成新的数据样本。
- 判别器:这部分的任务是区分输入的数据是真实的还是由生成器产生的。基本上,判别器的工作就像一个警察,试图识别哪些是假的数据。
举个例子,如果我们训练一个GAN来生成新的猫的图片,生成器的目标是制作出看起来像真猫的图片,而判别器的目标是判断输入的猫图片是否是一个真实的猫图片或是生成器制作的。随着训练的进行,生成器会越来越擅长制作逼真的猫图片。
这两部分在训练过程中相互对抗,生成器试图“欺骗”判别器,使其无法区分真伪,而判别器则试图变得足够聪明,能够准确识别出由生成器生成的数据。通过这种对抗的训练方式,生成器将逐渐学习到如何制作越来越逼真的数据。GAN网络的最终目的是训练出足以以假乱真的生成器和火眼金睛的判别器,由于需要同时训练两个模型,导致不易收敛
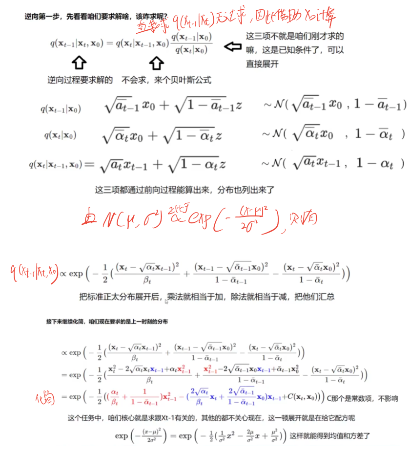
扩散模型横空出世
主要参考文献:DDPM (Ho et al. 2020)
加噪(前向过程)


去噪(反向过程)






