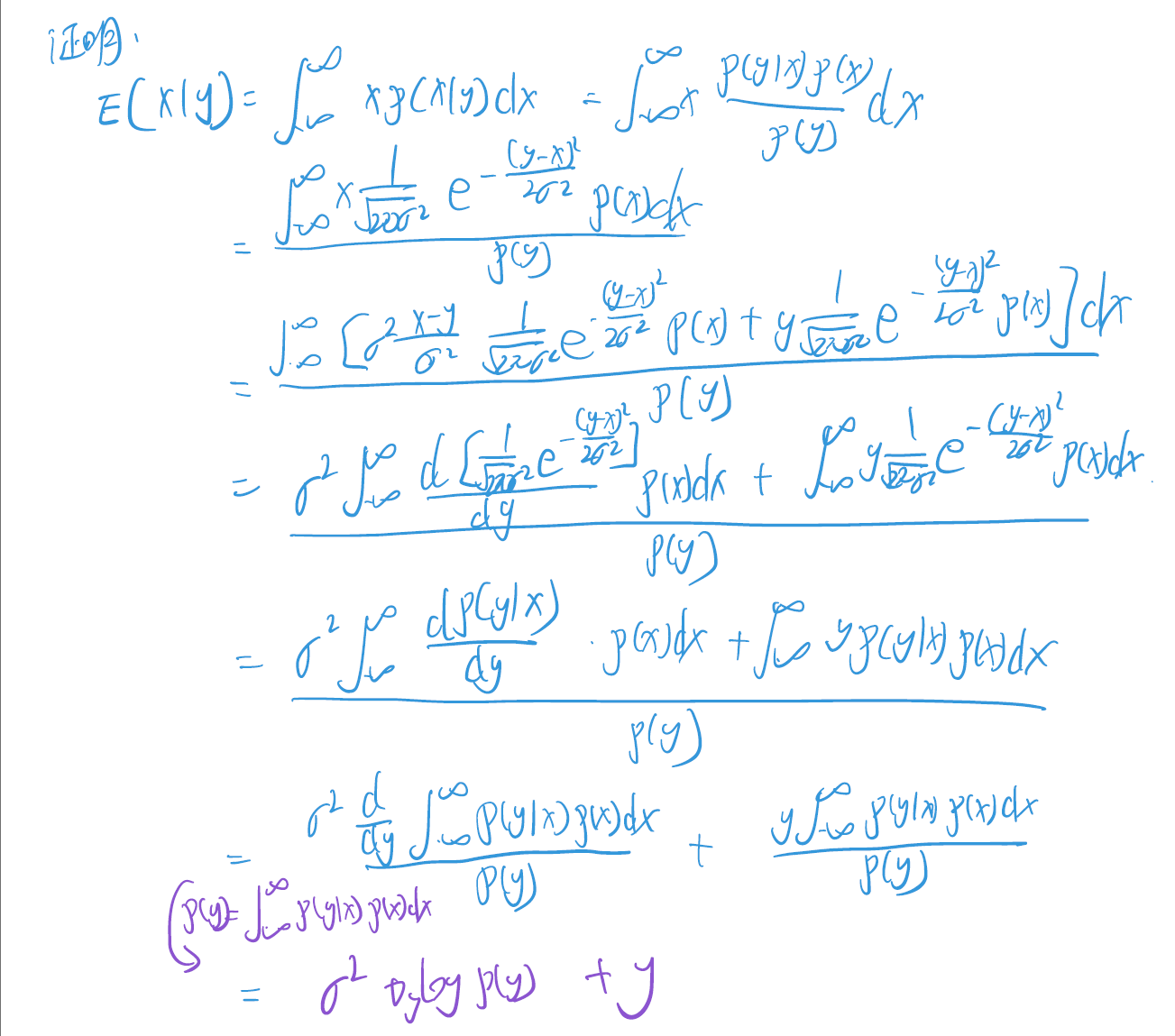
一切的起源-Tweedie公式


分数函数可以用于去除噪声


SGM的一个核心特定就是它将训练过程和采样过程解耦,其与DDPM有本质的不同,就是其模型专注于学习数据分布的梯度(分数函数)来实现的,而不是直接生成数据,一旦训练完成,分数函数就可以独立于训练数据用于采样。
有学者已经证明,使用分数函数有多种采样方法,通常使用Langevin动力学或其他类型的马尔可夫链蒙特卡罗(MCMC)方法。
退火Langevin动力学
核心公式:

可以证明,当α→0且T→∞时,xT可以无限趋近于真实样本
使用去噪分数匹配进行训练:

但Langevin动力学存在以下问题:
- 只有当加入噪声很小时,去噪分数匹配的分数估计才能符合,同时在数据密度较低的区域,分数估计又非常不准确,这导致Langevin采样更不准确了
- 当加入噪声很大时,分数估计表现良好,但得到的数据分布仍保留部分加入的噪声,真实数据分布被破坏
解决方法:采用退火的思想,在采样时先加大噪声后加小噪声对数据进行扰动,用同一分数网络预测不同噪声下数据的分数函数(这里思想和DDPM出奇相似),再采用Langevin动力学。在接近目标数据分布后,再次施加较小的噪声,并使用更小的步长进行更多的Langevin动力学迭代。这有助于细化样本,调整细节,使其更精确地匹配真实数据分布。


按以上原理,训练的网络需要在各种噪声条件下准确预测对应的分数函数,则输入需要包含噪声大小,可以用以下方法训练(称为NCSN网络),通过实验,使用U-Net、空洞卷积和transformer的网络效果最好

算法:退火Langevin动力学

数列最好设置为等比数列,参数更新时加上EMA更稳定



Чи-Ли – Снегом замело (Sergei Karpov Beatbox Remix) скачать песню и слушать онлайн
https://allmp3.pro/3032-chi-li-snegom-zamelo-sergei-karpov-beatbox-remix.html
Mary Gu – Дисней скачать песню и слушать онлайн
https://allmp3.pro/2726-mary-gu-disnej.html
Рунна – Пускай улетают скачать песню и слушать онлайн
https://allmp3.pro/2382-runna-puskaj-uletajut.html
Catrine – Водоворотами скачать песню и слушать онлайн
https://allmp3.pro/2825-catrine-vodovorotami.html