概率扩散模型DDPM与分数扩散模型SMLD的区别与联系
先说结论:两者都属于扩散生成模型,即以堆数据增加扰动为手段,通过神经网络对加噪后的数据进行建模并最终学习到目标数据分布
分数扩散模型

概率扩散模型


在SDE中,DDPM的采样方法称之为祖先采样,即利用前一次采样结果的分布数据来生成这一次的采样结果
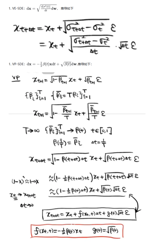
SDE可以同时刻画SMLD和DDPM







先说结论:两者都属于扩散生成模型,即以堆数据增加扰动为手段,通过神经网络对加噪后的数据进行建模并最终学习到目标数据分布



在SDE中,DDPM的采样方法称之为祖先采样,即利用前一次采样结果的分布数据来生成这一次的采样结果





